
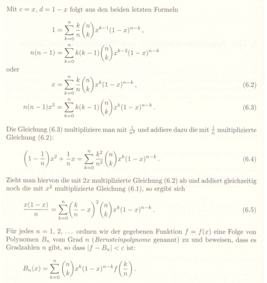
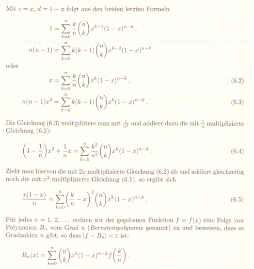
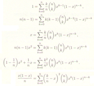
Ein Ausschnitt aus einem erstbesten "anspruchsvolleren" Mathematikbuch:

Natürlich ist solch ein Formel-Wust für Laien enorm abschreckend, aber
(also für n = 3 ),
dass
also
= 0 + 1 + 2 + 3.
Nunja, ganz so einfach, wie oben gesagt, ist's nun doch nicht, denn
(nirgends erklärt werden - und schon gar nicht in jeder Gleichung aufs Neue),
(man muss sich das auf der Zunge zergehen lassen: jede einzelne, knappe Gleichung "erschlägt" gleich unendlich viele Fälle),
(Kommt hinzu, dass z.B. die Schreibweise
k , also für beliebiges n, ja gar nicht komplett aufschreibbar ist - oder höchstens in der Form 0 + 1 + ... + n, und selbst das wäre schon falsch für den Spezialfall n = 0 , bei dem es ja nicht mal zu einer 1 kommt.)

(... wobei auch noch an vielen anderen Stellen Gleichheitszeichen auftauchen.)
Anfangs stehen die Gleichheitszeichen sogar noch markant untereinander, und wir holen das nun für alle Gleichheitszeichen in den wichtigsten Gleichungen nach:

Mag der Rest auch sehr kompliziert sein, so passiert von Zeile zu Zeile doch nichts Anderes (Schwierigeres), als dass da
(deren Richtigkeit ein Laie dem Autor nur unkritisch glauben kann),
(das ist der Sinn aller einschlägigen Term- und Gleichungsumformungsregeln).
Warum aber "haben's" Mathematiker so mit Gleichheitszeichen, warum bilden diese Gleichheitszeichen geradezu das Grundgerüst aller Mathematik?:
|
"and there's nothing sure in this world, Angenommen hingegen mal, zwei Dinge sind unterschiedlich:
als letztere sein (vgl. eine Balkenwaage im Ungleichgewicht, aus der man fast gar nichts schließen kann, außer dass eine Seite "leichter" ist als die andere). |
Eines der zentralen Probleme (der zentralen Herausforderungen!) nicht nur in der Mathematik ist es aber, dass zwei Dinge
(was man allerdings auf Anhieb nicht sieht und was zu zeigen äußerst schwierig sein kann)
(so, als hätten sie sich ganz schön hinterhältig unterschiedlich verkleidet):
"[...] kann ein Beobachter etwa nicht entscheiden, ob er sich bewegt oder nicht? Für Aristoteles lautete die Antwort natürlich Ja. Galilei und Newton waren gezwungen, mit Nein zu antworten.
Wenn sich die Erde bewegt und wir es nicht spüren, so folgt daraus, dass Beobachter, die sich mit konstanter Geschwindigkeit bewegen, ihre Bewegung nicht wahrnehmen. Folglich können wir nicht entscheiden, ob wir in Ruhe sind oder nicht, daher muss Bewegung als eine rein relative Größe definiert werden.
Allerdings gibt es hier eine wichtige Einschränkung: Wir sprechen über gleichförmige Bewegung — geradlinige Bewegung. (Zwar bewegt sich die Erde natürlich nicht geradlinig, doch die Abweichungen sind zu gering, als dass wir sie spüren könnten.) Wenn wir die Geschwindigkeit oder die Richtung unserer Bewegung verändern, merken wir es. Derartige Veränderungen nennen wir Beschleunigung, und Beschleunigung kann eine absolute Bedeutung haben.
Galilei und Newton erzielten hier einen scharfsinnigen und schönen geistigen Erfolg. Andere hielten es für offenkundig, dass Bewegung und Ruhe vollkommen divergente Erscheinungen waren, die sich leicht unterscheiden ließen. Doch das Trägheitsprinzip vereinheitlicht sie. Um zu erklären, warum sie verschieden erscheinen, entwickelte Galilei das Relativitätsprinzip. Danach ist die Unterscheidung zwischen Bewegung und Ruhe nur relativ zu einem Beobachter sinnvoll. Da sich verschiedene Beobachter unterschiedlich bewegen, unterscheiden sie auch unterschiedlich zwischen Objekten in Bewegung und in Ruhe. So bleibt die Tatsache bestehen, dass jeder Beobachter seine Unterscheidung trifft, was gezeigt werden sollte. Ob sich etwas bewegt oder nicht, ist also kein Phänomen mehr, das erklärt werden müsste. Wenn sich etwas bewegt, muss es nach Aristoteles eine Kraft geben, die darauf einwirkt. Nach Newton dauert die Bewegung, wenn sie gleichförmig ist, unendlich fort.
Keine Kraft ist erforderlich, um sie zu erklären. Das ist eine höchst wirksame Strategie, die in späteren Theorien wiederholt angewandt wurde. Eine Methode, um Dinge zu vereinheitlichen, die verschieden erscheinen, besteht in dem Nachweis, dass der erkennbare Unterschied auf unterschiedliche Perspektiven der Beobachter zurückzuführen ist. Eine Unterscheidung, die zuvor als absolut galt, wird relativ. Diese Art der Vereinheitlichung ist selten und stellt die höchste Form wissenschaftlicher Kreativität dar. Wenn sie gelingt, ergibt sich daraus eine radikale Veränderung unseres Weltbildes.
Vorschläge, nach denen zwei scheinbar sehr verschiedene Dinge gleich sind, verlangen häufig eine Fülle von Erklärungen. Nur manchmal genügt es, den scheinbaren Unterschied als eine Folge verschiedener Perspektiven zu erläutern. In anderen Fällen sind die beiden Dinge, die Sie für die Vereinheitlichung ausgewählt haben, tatsächlich verschieden. Die Notwendigkeit, dann zu erklären, wie Dinge, die verschieden erscheinen, sich tatsächlich in bestimmten Aspekten gleichen, kann einen Theoretiker in ernsthafte Schwierigkeiten bringen.[...]"
(zitiert nach
)
Leider wird auch in der Mathematik oftmals von "Gleich-Machen" gesprochen:
Dabei wird in der Mathematik
(à la Prokrustes
oder
)
ohne Rücksicht auf Verluste gleich gemacht,
Wichtigste Ziele sind dabei:
