(um Himmels willen) nicht ausrechnen!
Ausrechnen kann in der Mathematik genau der falsche Weg sein, bzw. wer immer stumpf (mit dem Taschenrechner) ausrechnet, erkennt vermutlich nie "Systematisches" bzw. braucht es nicht - zwecks Arbeitserleichterung - zu erkennen, denn der Taschenrechner nimmt ihm ja alle Arbeit ab.
"Auf einem See der Fläche 1000 m2 befindet sich ein Algenteppich von 1 m2, der sich jeden Tag verdoppelt. Wann nimmt der Algenteppich die gesamte Seefläche ein?"
Wenn man nun den Anfangszeitpunkt (als noch kein Tag vergangen ist) als Null bezeichnet, so ergibt sich damit folgende Wertetabelle:
Tag Algenfläche 0 1 1 2 2 4 3 8 4 16 5 32 6 64 7 128 8 256 9 512 10 1024 ... wobei sich jeder Wert in der rechten Spalte durch Verdopplung des darüber stehenden Wertes ergibt, also z.B. 2 • 8 = 16.
Der entscheidende Nachteil dabei ist, dass man immer den vorherigen Wert errechnet haben muss, um den folgenden zu erhalten, was bei sehr hohen Werten (z.B. nach 35 Tagen) doch äußerst umständlich wird
(manchmal frage ich mich, ob man SchülerInneN probeweise den Taschenrechner verbieten und solch hohe Werte berechnen lassen sollte, um ein Abkürzungsbedürfnis geradezu zu erzwingen).
Kommt hinzu, dass alle Folgewerte falsch sind, wenn ein einziges Mal ein Zwischenwert falsch war oder versehentlich
(was bei sehr langen Tabellen ja durchaus passieren kann)
gar nicht berechnet wurde
(und zwar sind alle Folgewerte falsch, selbst wenn man ansonsten völlig richtig gerechnet hat).
Es gilt also, Abschied von den konkreten (ausgerechneten) Zahlen zu nehmen oder sich überhaupt für solch stumpfes und ggf. auch schwieriges Rechnen zu schade sein - und stattdessen das Prinzip (andauernde Verdopplung) deutlich heraus zu arbeiten:
Tag Algenfläche 0 1 1 2 2 2 • 2 3 2 • 2 • 2 4 2 • 2 • 2 • 2 5 2 • 2 • 2 • 2 • 2 6 2 • 2 • 2 • 2 • 2 • 2 7 2 • 2 • 2 • 2 • 2 • 2 • 2 8 2 • 2 • 2 • 2 • 2 • 2 • 2 • 2 9 2 • 2 • 2 • 2 • 2 • 2 • 2 • 2 • 2 10 2 • 2 • 2 • 2 • 2 • 2 • 2 • 2 • 2 • 2 Bei genauerer Betrachtung der sich so ergebenden Tabelle wird man vielleicht feststellen, dass rechts immer so viele Zweien miteinander multipliziert werden, wie die jeweilige Tagesnummer ist, also z.B.: am 10 Tag werden 10 Zweien miteinander multipliziert.
D.h. aber doch, dass man
aus der Tagesnummer (hier 10; oder z.B. auch 35) direkt
die Algenfläche berechnen kann, und zwar ohne die vorherigen Werte berechnet zu haben.
Am 35. Tag muss die 2 also 35 mal mit sich selbst multipliziert werden, beträgt die Algenfläche also
2 • 2 • 2 • 2 • 2 • 2 • 2 • 2 • 2 • 2 • 2 • 2 • 2 • 2 • 2 • 2 • 2 • 2 • 2 • 2 • 2 • 2 • 2 • 2 • 2 • 2 • 2 • 2 • 2 • 2 • 2 • 2 • 2 • 2 • 2 • 2
Wenn einem dann aber auch noch das ewige Aufschreiben von Zweien zu viel ist und man die darin liegende Fehlerquelle vermeiden will
(allzu gerne schreibt man eine Zwei zu viel oder zu wenig),
geht man am besten zur Potenzschreibweise über, in der das Prinzip sogar besonders augenfällig wird:
Tag Algenfläche 0 20 1 21 2 22 3 23 4 24 5 25 6 26 7 27 8 28 9 29 10 210 ... 35 235 ... x 2x Und so kann man dann beispielsweise für x = 473 sofort den Wert 2473 berechnen.
Natürlich hat diese abstrakte Schreibweise auch einen Nachteil:
An den Potenzen kann ich nicht mehr sehen, wann - wie in der Anfangsaufgabenstellung gefragt - die Fläche 1000 m2 erreicht wird
(anders gesagt: die klassische Aufgabenstellung oben ist ungeeignet, um zum eigentlich doch anvisierten Prinzip hinzuleiten!).
Wenn ich das wissen will, muss ich eben doch wieder z.B. 210 = 2 • 2 • 2 • 2 • 2 • 2 • 2 • 2 • 2 • 2 ausrechnen
(erhalte also 1024 und somit den ersten über 1000 liegenden Wert),
wobei dann auch wieder all die o.g. Fehler auftreten können.
Aber immerhin: wenn ich mit dem Taschenrechner rechne, kann ich direkt 210 eingeben, vermeide ich also immerhin alle möglichen zwischenzeitlichen Tippfehler.
Und dennoch muss ich die vorherigen Werte (zumindest den für den 9. Tag) ausrechnen, um zu bemerken, dass 210 erstmals über 1000 liegt.
![]()
vereinfachen.
Da liegt es ja in der Tat nahe, das erst mal mit konkreten Zahlen auszuprobieren, um überhaupt eine erste Anschauung ansonsten völlig abstrakter Rechnungen zu bekommen.
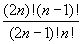
Also sei beispielsweise n = 3, und es ergibt sich
=
Nun verführt der Taschenrechner dazu, sofort auszurechnen:
=
= 2
Es kommt also - wie so oft in der Mathematik - nach schwierigem Anfang etwas sehr Einfaches heraus, nur
sieht man durch Instant-Ausrechnen nicht, wie das im vorliegenden Fall passiert ist,
und damit auch nicht, wie es im allgemeinen Fall (für beliebiges n statt dem Spezialfall n = 3) ) funktionieren würde bzw. was im allgemeinen Fall rauskommt.
Eine falsche Vermutung wäre beispielsweise, dass immer n-1 rauskommt(im vorliegenden Fall also 3-1 = 2).
Nein, n = 3 kann nur dann ein guter Tipp sein, wenn man die Fakultäten nie ausrechnet
sondern die Funktionsweise (Definition) von Fakultäten verstanden hat bzw. einsetzt
(oder genauer: beim Gebrauch versteht):
=
=
=
= 2
Und jetzt erst sieht man, dass bei
wohl für alle n (und keineswegs nur für n = 3) insgesamt 2 rauskommen wird, das Ergebnis also völlig unabhängig von n ist.
(Im Grunde war aber die erste Wahl n = 3 ungünstig, da es da noch gar keine Notwendigkeit gab, die Fakultäten umständlich auszuschreiben,
bzw. im Grunde hätte man gleich mit allgemeinem n anfangen können.)
Ein weiterer Grund, weshalb es manchmal höchst ratsam ist, "schwierige" Zahlen nicht auszurechnen, ist, dass sie im Laufe weiterer Umformungen oftmals von selbst wieder rausfallen, also nur zwischenzeitlich auftauchen.
Ein ganz simples Beispiel: (x -
) • (x +
) ist nach dem "3. Binomi" dasselbe wie x2 - (
)2 = x2 - 2
Ich muss also "nur" die Definition von
kennen, dass nämlich (
)2 = 2 ist, aber ich brauche nicht zu wissen (auszurechnen), dass
≈ 1,4142 ist
(was ja, da
irrational ist, eh immer nur ein hässlicher Näherungswert sein kann).