Anfrage an die Stochastik
| "Wir werden mit Fragebögen und Statistiken überhäuft. Computer [...] spucken Standardabweichungen und Korrelationskoeffizienten aus. Diese werden dazu verwendet, uns in Übereinstimmung mit den Schlussfolgerungen der Befrager zu bringen." "Eine faire Münze wird geworfen. Ein bestimmter Vorgang gilt als Ergebnis des Wurfes; dies ist ein Ereignis von vollkommener Unbestimmtheit. "Trotz der Tatsache, daß wir heute in einer stochastisierten Welt leben, ist das Verständnis, das der Stochastisierung zugrunde liegt, schwer erfassbar und umstritten geblieben. Die Mathematik darin ist streng genug, was das Formal-Deduktive anbelangt. Aber welchem Aspekt der wirklichen Welt entspricht sie nun? Ist die Wahrscheinlichkeit real oder ist sie nichts als ein Feigenblatt der Unkenntnis? Die Frage, was real sei, ist selten einfach zu beantworten. Ist der Teufel ein realer Aspekt der Welt? In vergangenen Jahrhunderten lautete die Antwort wie selbstverständlich ja. Der Teufel hat sich heute zumindest in der zivilisierten Welt auf eine bescheidenere und eher metaphorische Rolle zurückgezogen. Der Zufall wird für vieles in Anspruch genommen, was früher dem schmutzigen Geschäft des Teufels zugeschrieben worden ist." (Philip J. Davis, Reuben Hersh) |
In NRW ist vor einigen Jahren die Stochastik in der gymnasialen Oberstufe zum verbindlichen Stoff gemacht worden.
Natürlich ist das mal wieder nach dem alten Schema gelaufen:
was ca. 20 Jahre vorher der "Hype" an den Universitäten war
(selbstverständlich gibt es auch in der Mathematik Moden; vgl. nur etwa die Chaostheorie mit ihrem "Schmetterlingseffekt"!),
wird dann 20 Jahre später, wenn die damaligen StudentInnEn in (kultuspolitische) Führungspositionen aufrücken, in die Schulen getragen und, wie immer, umgehend verbindlich gemacht
und nochmals 20 Jahre später vermutlich doch wieder von der nächsten "Führungsgeneration" für Quatsch gehalten und abgeschafft.
(Man denunziert ja immer nur die [vermeintlichen?] ehemaligen, ist aber blind für die derzeitigen Modetorheiten und Patentrezepte. Vgl. auch seinerzeit die schulische Mengenlehre, die ja durchaus wichtigen fachmathematischen Trends folgte.)
Ich kann da mitreden, weil mein Studium inzwischen auch 20 Jahre her ist
(ich also inzwischen auch zur potentiellen "Führungsgeneration" gehöre :-)
und damals gerade die Wahrscheinlichkeitstheorie an den Universitäten "in" war.
Man könnte also auch böse sagen:
die Entscheidungsträger sind (bei LehrerInnen fast notgedrungen) seit ihrem Studium fachlich stehen geblieben und halten den damaligen Erkenntnisstand und die seinerzeitigen Moden für der Weisheit letzten Schluss;
bzw. "was ich kann, müssen auch alle anderen können (damit niemand bemerkt, wie wenig ich kann)"
(vgl. etwa: "die neueste Musik kriege ich eh nicht mehr mit [bzw. sie lässt mich einfach kalt], also ist die letzte "richtige" Musik von Bob Dylan [der inzwischen auch 60 ist] und müssen ab jetzt alle zwangsweise Bob Dylan hören"; aber nichts gegen Bob Dylan!).
Das größte Problem bei der Stochastik ist: wie immer (Profilbildung, Schulprogramm, Facharbeiten usw. usf.) wurde da etwas in bürokratischem Aktionismus oder aber frohgemuter kultuspolitischer Naivität holterdiepolter vorgeschrieben ("wir machen heute mal wieder einen netten Erlass"), statt es vorerst mal mittelfristig schulpraktisch zu erproben bzw. zu ermöglichen.
Aus all dem sollte man doch immerhin (wieder: wie immer) schließen: bitte (die Stochastik) nicht so heiß essen, wie es gekocht wurde; bzw. "der Hund bellt, die Karawane zieht weiter". Sowas nennt man "Dienst nach Vorschrift", d.h. man tut nur das absolut notwendige Minimum (die minimalste "Obligatorik").
Die Stochastik (in der Schule) bringt ganz prinzipielle Schwierigkeiten mit sich:
biografisch-berufliche Probleme:
viele LehrerInnen haben im Studium keinerlei Erfahrungen mit Stochastik und - wichtiger noch - stochastischem Denken gemacht und/oder
dieses Gebiet (seitdem) nie unterrichtet, sind also nicht (mehr) "am Ball";
sie müssen also das, was sie den SchülerInnen vermitteln sollen, auch erst - und fast parallel zu den SchülerInnen - selbst erlernen und
fühlen sich deshalb nicht so sicher wie bei traditionellem, mehrfach wiederholtem und methodisch-didaktisch ausgefeiltem Stoff, bei dem sie alle Schliche kennen und den SchülerInnen vielleicht auch besonders gut helfen können
(man kann also den ewig gleichen Standard hier also durchaus mal als Vorteil sehen).
Der Hinweis auf solche biografisch-beruflichen Probleme ist keineswegs so gemeint, dass "Neuheiten" wie die Stochastik LehrerInnen nicht (mehr) zumutbar sind. Und schon gar nicht sind diese Probleme ein schlagendes Argument gegen die Einführung der Stochastik in Schulen.
(Ich neige sogar dazu, die Einführung der Stochastik in der Schule für höchst sinnvoll zu halten, und zwar ausdrücklich nicht wegen der derzeit modischen Berufsvorbereitung, sondern weil da in der Tat mal eine ganz andere Art Mathematik betrieben und somit die sonstige Schulmathematik relativiert wird.)
Aber die (auch bei mir!) grassierende Unsicherheit ist immerhin zur Kenntnis zu nehmen: ich habe schon erlebt, dass "gestandene" MathematiklehrerInnen, die fachlich (ansonsten) bestens orientiert sind und so etwa das Selbstbewusstsein eines Kubikmeter Stahlbetons haben, vor einer Äußerung zur Stochastik in eine permanente captatio benevolentiae ("alles Folgende ist vermutlich falsch") ausbrachen.
fachliche Probleme:
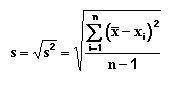
Schon allein die Formeln der Stochastik sind teilweise ganz anderer Natur als die in der sonstigen Schulmathematik. Vgl. nur die Formel für die Standardabweichung, also
,
bei der sich die Schwierigkeiten für viele SchülerInnen (und LehrerInnen?) schon geradezu stapeln:
eine Wurzel
(und das auch noch auf den ersten Blick doch immerhin widersinnigerweise aus einer Summe),eine umständliche Summe,
Division nicht (wie zu erwarten) durch n, sondern durch n-1
(und jetzt musste ich mir sagen lassen, in der "freien Wildbahn" verwende man eben doch immer nur n).Schwierigkeiten bereiten also
eine einsehbare Herleitung (statt "so ist das nun mal definiert"), d.h. auch eine Begründung der spezifischen Aussagekraft,
die schlechte Merkbarkeit
(vielleicht erfordert die Stochastik wie kein anderes Gebiet eine Formelsammlung),die teilweise enorme Rechenarbeit, die bei größeren Datensätzen hinter dem Summenzeichen steckt.
(Gerade bei c. wird deutlich, wie hilfreich hier tatsächlich mal der Rechner sein kann. Das unterscheidet solche Formeln ja auch von denen etwa der Analysis, die an sich keinen großen Rechenaufwand fordern.
Und dennoch besteht die Gefahr, dass gerade der Rechner von den "Grundideen" [s.u.] wegführt, weil er ja alles so eindeutig ausrechnet.)
Stochastik ist (und sollte es sein!) wie kaum ein anderes mathematisches Gebiet anwendungsorientiert.
Durch den Kontakt mit der konkreten Welt ergeben sich aber viele Unwägbarkeiten, bzw. die Stochastik versucht ja gerade einen Umgang mit den Unwägbarkeiten der Wirklichkeit.
Mehr noch: das Erstaunliche ist ja gerade, dass sie überhaupt ausgerechnet den Zufall halbwegs bändigen kann.
Was mathematisch so schön "rauskommt", muss
vorher überhaupt erst sinnvoll aus dem Meer der Bezüge herausgefischt werden
(vgl. dazu)
hinterher wieder im Hinblick auf die außermathematische Wirklichkeit interpretiert werden.
Oftmals merkt man erst bei der Interpretation der mathematisch durchaus korrekten Ergebnisse, dass diese wenig sinnvoll bis grob irreführend oder gar falsch sind. Woraus dann folgt, was reine Innermathematiker nie bemerken werden: schon die Modellbildung muss falsch gewesen sein.
Genau solche an der außermathematischen Wirklichkeit orientierten Interpretationen sind
(sich meist bewusst als InnermathematikerInnen verstehende)
MathematiklehrerInnen aber kaum gewohnt, ja das ist für sie überhaupt keine "richtige" Mathematik.
Wegen der Problematik der Wahrscheinlichkeit ergeben sich aber oftmals auch rein innermathematisch größte Problem. Ein Beispiel ist da das an sich doch recht simple sogenannte "Ziegenproblem", das selbst ausgewiesene Stochastikfachleute in die Irre geführt hat.
vgl.
Gero von Randow: Das Ziegenproblem; Denken in Wahrscheinlichkeiten; rororo
In der Stochastik gibt es prinzipiell nicht mehr die absolute Sicherheit der sonstigen (Schul-)Mathematik.
(fast könnte man sagen: gerade deshalb betreibt man ja Stochastik!)
| Es kann also nicht deutlich genug darauf hingewiesen werden, dass die Stochastik derzeit
in den Schulen zu ganz enormen Irritationen sowohl auf Lehrer- als auch (was viel schlimmer ist) auf Schülerseite führt. Nur ein Beispiel: ein Freund (Mathematiklehrer), der nun wahrhaft "fit" in Stochastik ist, sah sich nicht in der Lage, die Übungsaufgaben seiner Tochter in einem Mathematikleistungskurs zu lösen, bzw. er kam da zumindest sowohl bei der Modellbildung als auch bei der Interpretation schwer ins Schlingern (während er natürlich die reine Mathematik mit "Links" erledigte). |
Mein (sicherlich erst mal subjektiver) Eindruck ist da:
| Es sind dringend GrundsatzÜberlegungen angesagt, was in der Stochastik vermittelt werden kann und soll, und das bedeutet für mich vor allem:
|
Ich will hier das Wort "Problem" allerdings im ursprünglich griechischen Sinne von "problema" verstehen, also als Aufgabe bzw. Herausforderung:
Dass LehrerInnen sich erst selbst in das Thema "Stochastik" einarbeiten müssen und den SchülerInnen kaum voraus sind, kann man ja auch als Chance verstehen: Die LehrerInnen können
sich noch an ihre eigenen Schwierigkeiten und Ansätze erinnern und deshalb vielleicht viel besser ins Selbstlernen einführen;
aus der manchmal durchaus leidigen Rolle des allwissenden "Nürnberger Trichters" heraustreten, mehr zusammen mit den SchülerInnen erarbeiten und den Wissenserwerb "nur" noch strukturieren bzw. "moderieren" (wofür sie ExpertInnEn sind und bleiben [bzw. sein sollten]);
Kommt hinzu, dass LehrerInnen da ja auch endlich mal was wirklich Neues machen "dürfen": ansonsten ist die Schulmathematik ja doch weitgehend derart vorstrukturiert, dass der Spaß eigentlich nur in der (immer neuen bzw. verbesserten) Vermittlung (des Uralten bzw. ewig Gleichen) liegen kann.
Anwendungsorientierung, die wirklich ihren Namen verdient, ist eine conditio sine qua non der Stochastik. Es darf unter keinen Umständen beim "Ziehen aus Urnen (mit oder ohne zurücklegen)" bleiben. D.h., dass man sich (in interdisziplinärem Unterricht und fächerübergreifenden Projekten?) den Anfragen und Problematisierungen der klassischen Anwendungsfelder
Produktqualitätskontrolle,
Psychologie und Sozialwissenschaften (inkl. Meinungsforschung)
Versicherungsmathematik und
(Quanten-)Physik
wird stellen müssen.
Genau da aber brauchen wir MathematikerInnen noch dringend Nachhilfe bzw. Hinweise von VertreterInneN anderer Fächer. Z.B. wären von uns allein durchgeführte und ausgewertete Umfragen vermutlich durchaus mathematisch hieb- und stichfest - aber simpel suggestiv.
Eine Anwendungsorientierung ist nur vorgeschoben, solange sie nur dazu dient (was ja auch wichtig ist), daraus mathematische Sachverhalte zu ziehen. Typisch ist es dabei oftmals, dass dann zwar die mathematisch korrekten Ergebnisse hergeleitet, sie aber nicht mehr mittels anderer Fächer interpretiert werden:
Z.B. lässt sich angeblich zeigen, dass es im Kreis Kleve die meisten Unfalltoten im Autoverkehr gibt. Nur weshalb (falls es überhaupt stimmt)? Und wenn's stimmt: was folgt daraus?
Rein innermathematische, uninterpretierte Ergebnisse können - etwa bei Untersuchungen zur Ausländerfeindlichkeit - dazu führen, dass entweder nur Banalitäten ermittelt oder nur Vorurteile zementiert werden.
Spätestens in der Stochastik ist auch und gerade die Innermathematik nicht mehr ideologisch "farbneutral", sobald sie auch nur einen Millimeter in die Wirklichkeit ausgreift.
Wollte man es böse formulieren, so könnte man prononciert sagen: MathematikerInnen verhalten sich manchmal wie Vampire, die einem Sachverhalt (soziale Problemen und teilweise auch Elend) nur das mathematische Blut aussaugen.
Da wäre es oftmals doch ehrlicher, rein innermathematisch zu bleiben (etwa beim reinen Urnenmodell) und die Wirklichkeit nicht als Vorwand für Anwendbarkeit zu missbrauchen.
Hier stellt sich allerdings auch die Frage, wie weit man schon allein innermathematisch kommen müsste, um halbwegs aussagekräftige Interpretationen aufstellen zu können. Sicherlich reicht nicht die reine Kombinatorik. Aber muss man bis zu Testverfahren kommen?
| Es geht kein Weg um die grundsätzliche Problematik der Wahrscheinlichkeit, also um Philosophie oder schlichtweg die existentielle Unbestimmtheit und damit auch Verunsicherung eines jeden Menschen (also auch aller SchülerInnen) herum, d.h. Philosophie muss spätestens in der Stochastik untrennbar Teil der Mathematik werden. |
Die Botschaft muss mehrdeutig sein:
Die Welt ist bis in ihre Grundfeste kontingent,
und dennoch (und das ist das eigentlich Erstaunliche!)
organisiert sich Ordnung
und kann die Mathematik ausgerechnet den flüchtigen und unberechenbaren Zufall ansatzeise dingfest machen, d.h. gut und genau mit ihm rechnen.
Vgl. auch