
"Meine einzige Absicht ist die, die Welt meines Gottes von mehr Seiten kennenzulernen."
(Johann Gottfried Herder)
Vorbemerkungen:
,
"the whole world" gesehen haben:
(vgl.
:
"Man lebt nur einmal. Und ein stilvoller Abgang gehört dazu! Das beschließen zwei Patienten auf der Krebsstation, als sie die unerbittliche Diagnose hören: Ein jähzorniger Milliardär (Jack Nicholson) und ein gebildeter Automechaniker (Morgan Freeman) stellen eine „Löffel-Liste" zusammen - mit all den Dingen, die sie noch tun wollen, bevor sie den Löffel abgeben. Und dann stürzen sie sich auf einer Reise rund um die Welt in das Abenteuer ihres Lebens. Fallschirmspringen? Abgehakt. Mit einem Shelby Mustang über die Rennstrecke brettern? Abgehakt. Die Cheops-Pyramide im Abendlicht genießen? Abgehakt. Die Lebensfreude entdecken, bevor es zu spät ist?. Abgehakt!")
ansehen.
bzw.
, d.h. auf alle kulturbürokratischen Vorgaben und sämtliche Lehrpläne!
Vielen LehrerInnen wird schon mau zumute, wenn auch nur fünf Projekttage (eine Projektwoche) angedacht werden (wird): das ist doch ein gigantischer Organisationsaufwand, und überhaupt können viele LehrerInnen ja nicht mehr als ihr abgezirkeltes Fach.
Wir hingegen nehmen uns sogar Zeit für 81tägige, also fast drei Monate (!) lange Projekttage, in denen zwar gemeinsam eine abschließende Ausstellung vorbereitet wird, aber
(außer der Anwesenheitspflicht und dem normalen Stundenplan; s.u.)
sämtliche üblichen Regularien (inkl. Klassenarbeiten) entfallen.
Um uns aber die defätistische Unlust einiger SchülerInnen bei egal welchem Thema zu ersparen, ist die Teilnahme an diesem 81tätigen Projekt streng freiwillig: den SchülerInnen werden vorher die durchaus erheblichen Anforderungen für "unser" Projekt genannt
(z.B. auch verschärfte Hausarbeiten: Modellbau, Kontakte zu Tourismuszentralen, Chat mit SchülerInneN "vor Ort" ...),
und wer darauf keine Lust hat, kann/muss weiterhin am stinknormalen Parallelunterricht teilnehmen.
Die 81tätigen Projekttage sind denkbar für
(die desinteressierten SchülerInnen nehmen dann einfach am stinknormalen Standardunterricht der Parallelklassen teil; und überhaupt wird hier das Killerargument "Organisationsprobleme" schlichtweg nicht akzeptiert),
(in den letzten beiden Fällen werden die "Reste" von Parallelklassen zu einer Klasse "zusammengeworfen"; unterrichtet wird diese
"Restklasse" von LehrerInnen, die ebenfalls keine Lust auf 81 Projekttage haben).
Der Projektunterricht findet mit gutem Grund im normalen Stundenplanraster und in den normalen Fächern statt: bei aller Interdisziplinarität sollen doch immer auch fachliche Aspekte in die Weltumrundung eingebracht werden. Auf gar keinen Fall aber soll die Weltreise nur dem Fach Erdkunde (oder gar der reinen Physiogeographie) überlassen werden.
Zentraler Angelpunkt ist eine

Weltkarte in jedem Klassenraum
Und es sei doch darauf hingewiesen, dass man in Google earth mittels der zuschaltbaren "Ebenen" erhebliche Zusatzinformationen [Lexika-Links, Fotos ...] bekommen kann:
)
Als kleiner Vorlauf der eigentlichen Projekttage wird wegen der trotz allem gebotenen Kürze anfangs der Film

(das Buch kann dann immer noch Projektthema werden)
vorgeführt, worauf die im Film/Buch gewählten Route nachvollzogen wird

Durch den Film ist diese Route nicht mehr gänzlich abstrakt - und überhaupt ist es eines der zentralen Anliegen des Projekts, (sich) jeden später gewählten Ort so anschaulich wie nur irgend möglich zu machen
(falls das überhaupt möglich ist: alle Orte, die ich besucht habe, waren doch immer ganz anders und vor allem "vieldimensionaler", als ich sie mir vorgestellt hatte;
jedes Lesen über einen Ort bleibt letztlich abstrakt, aber wenn man sich schon Orte lesend veranschaulichen [?] wollte, müssten es über jeden Ort dicke Wälzer wie
und ein Stapel von Karten sein;
mir wird das Lesen über einen Ort sowieso meist erst "vor Ort" ein Bedürfnis: als wenn ich [als Tourist fast vom Leben dort ausgeschlossen] die Fassaden dort mit Geschichte[n] zum Leben bringen wollte).
Das Problem, dass Schule
(und zwar - nachgerade ein echter Skandal! - meistens sogar im Fach Erdkunde)
immer hinter Mauern stattfindet, wird auch durch das hier angedachte Projekt nicht zu überwinden sein. Und doch soll das Projekt diese Mauern immerhin "virtuell" aufbrechen und auf Fernweh (und Heimweh!) sowie Abenteuer- und Entdeckerlust aufbauen bzw. sie erzeugen.
(Mindestens aber einmal könnte, ja sollte man die Abstraktion aufbrechen, indem man beispielsweise Göttingen [s.u.] besucht oder nachts unter dem freien Sternenhimmel schläft, der doch auf allen Weltreisen "bestimmend" war:

Kreuz des Südens)
Nächste Schritte sind
(Heinrich der Seefahrer, Bartolomeu Diaz , Vasco da Gama, Magellan, Sir Francis Drake, James Cook ...)
Nach diesen Vorarbeiten beginnt der eigentliche 81tägige Countdown:

Zeit, d.h. am 81. Tag findet die o.g. Ausstellung statt
(und werden "gnadenlos" die Zensuren für die Mitarbeit im Projekt vergeben!).
Für die geplanten Weltreisen gibt es einige verbindliche Bedingungen:
(nicht weniger, aber auch nicht mehr),
(z.B. Göttingen, das fast 100 Jahre lang Zentrum der internationalen Mathematik war),
(Fotos, Ortsbeschreibungen in Büchern, Kontakte zu dortigen Schülern, "webcams"

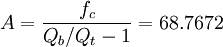
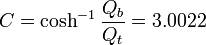
Saint Louis mit Gateway Arch:
,
or, equivalently
,
where


fc = maximum height of centroid (in feet) = 625.0925
Qb = maximum cross sectional area of arch at base (in sq. feet) = 1262.6651
Qt = minimum cross sectional area of arch at top (in sq. feet) = 125.1406
L = half width of centroid at the base (in feet) = 299.2239
"The Finnish-American architect Eero Saarinen (1910 - 61) and the German-American structural engineer Hannskarl Bandel (1925 - 93) deisgned this iconic structure in a shape that is similar to that of a inverted catenary [= Kettenlinie]"
(zitiert nach
)
(
"Das Problem des Handlungsreisenden" [zudem auf einer
Kugel!], Abfahrtszeiten, Fluglinien, Reisekonditionen [Visa ...], Hotels ...; die Mithilfe von Reisebüros oder Botschaften/Länder-Touristik-Zentralen und überhaupt die Nutzung von Reiseführern in Buchform ist ausdrücklich erwünscht),
Denkbar ist da beispielsweise, dass
(vgl.
und selbstverständlich interessieren nicht nur äußere [un-mathematische] biografische Daten der Mathematiker, sondern auch und vor allem die mathematischen Felder, die von ihnen beackert wurden),
(vgl. etwa
,
und fast schon makaber
),
der Aborigines bemerkenswert ist,Vgl.
Gerne gesehen werden auch "Metathemen" wie beispielsweise die bereits oben genannten Themen "Rundreiseproblem"/"Geometrie auf der Kugel" oder



Heutzutag ist ja alles "Präsentation" (meist schnödes Powerpoint), und den SchülerInnen sind bei der Ausstellung am 81. Tag tatsächlich sämtliche mögliche Präsentationsformen erlaubt
(zu denen allerdings jeweils angeleitet werden muss):
Weiteres Hintergrundmaterial:
: Timmerberg hat - im Gegensatz zu Verne - Vernes Strecke wirklich bereist; das Buch ist allerdings oftmals penetrant schnoddrig und pseudolustig, womit ganz offensichtlich nur die midlife-crisis eines Alt-Hippies zu überspielen versucht wird;
: Palin ist ebenfalls Verne "nachgereist"
:-)

; darin: "Jubiläumspreisrätsel: In sieben Fragen um die Welt - wir feiern, Sie bekommen die Geschenke!"


















Vgl. aber auch
: Horwitz zeigt, indem er Cooks Tour nachreist, auch, was aus den ehemaligen (vermeintlichen) Paradiesen geworden ist;
und ähnlich
; in Letzterem auf S. 143f:"Das Geniale seines Systems lag in der Erkenntnis, dass sich jede Information über einen Ort auf einen einzigen Parameter - er nannte es »Geschwindigkeit« - reduzieren und auf einer glatten Fläche grafisch darstellen ließ. Er berechnete die Geschwindigkeit von allem — von der Verbreitung von Ideen bis hin zur Bewegung von Öl — und unterwarf sie einer komplexen Algebra, mit deren Hilfe er für jeden Punkt auf der Erde einen einmaligen Wert ermitteln konnte. Die Kaufmann'sche Geschwindigkeitszahl® (KGZ) war bereits zu einem zentralen Index für Investoren und Entscheidungsträger geworden, denn sie gab das Tempo an, in dem ein Ort Gewinne abwarf (die bulgarische Regierung hatte vor Kurzem in einer Pressemitteilung großspurig verkündet, dass durch diverse gesetzgeberische und infrastrukturelle »Verbesserungen« die Zollfreizone Ruse eine KGZ erreicht habe, wie man sie in ganz Polen, Ungarn und Tschechien nicht finde), und man zahlte einen hohen Preis für sie. »Vierhundert Jahre«, pflegte Klaus in seinen zahlreichen Präsentationen bei Unternehmen und Regierungen zu sagen, »hat man die Menschen glauben gemacht, Mercators raffinierte Verzerrungen zeigten die Welt so, wie sie wirklich ist. Aber wir brauchen seine trügerischen Küstenlinien nicht mehr: Wir schaukeln nicht mehr auf unbekannten Gewässern und suchen nach Land. Wer von uns beschäftigt sich auch nur eine Sekunde lang mit Navigationsfragen, wenn er von Frankfurt nach Singapur reisen will? Die Welt gehört uns schon, und was uns in erster Linie interessiert, ist nicht ihre Form, sondern ihre Geschwindigkeit. Die nächsten vierhundert Jahre wird die Kaufmann'sche Geschwindigkeitskarte bestimmen, wie wir unseren Planeten sehen.«
Küstenlinien gab es auf der Karte nicht. Da aber auf den Meeren praktisch keine Märkte existierten, waren sie von einem gleichmäßigen, geheimnisvollen Grauschwarz, während die Kontinente ein fortwährend sich wandelndes Patchwork bildeten, das an manchen Stellen weiß glühte. Die gesamte Fläche der Karte war von filigranen roten und blauen Linien überzogen, den verschiedenen Korridoren und Kontrollpunkten der Erde, die da und dort zu verschlungenen Brennpunkten ähnlich den pulsierenden Herzkammern zusammenliefen: Flug- und Schifffahrtsrouten, die Wege, auf denen Stahl, Gummi und Glas zu Bestandteilen von Kraftfahrzeugen werden, Wanderrouten von Vögeln und Walen, Affen und Ratten, Flöhen und Bakterien [...]"

Internet-Weltkarte
PS:
Damit nicht alles nur (letztlich resignierte) Utopie bleibt, werde ich das Projekt nach den Sommerferien 2009 tatsächlich in zwei Differenzierungskursen Mathematik angehen.