x = Zeit,
y =
Zu-/Abfluss
oder
eine ewig gleiche Standardanwendung
des Integrals
Jedes Jahr kurz vor dem Abitur gibt es für Lehrer eine "Vergatterungskonferenz", bei der sie
Denn schließlich leben wir in Zeiten totaler Objektivität und Vergleichbarkeit - und haben die Schulleitungen eine Heidenangst vor Widerspruchsverfahren.
Nun bin ich aber fest entschlossen, dennoch die wichtigsten Inhalte des Mathematik-Abiturs zu verraten
,
denn es sind ja eh IMMER DIESELBEN.
Mathematik mag einerseits ein bei vielen Schülern besonders unbeliebtes Fach sein, andererseits ist sie aber
(ganz abgesehen davon, dass sie immer mehr zum "Kernfach" hochstilisiert wird und damit nicht mehr abwählbar ist)
als Abiturfach erstaunlich beliebt, da sie so schön verlässlich ist. Wenn die Schüler nur wüssten, wie sehr sie verlässlich ist: jüngst hatte ich Anlass, mündliche Mathematik-Prüfungs-"Vorschläge" der letzten 20 Jahre zu sichten
(eigene und von Kollegen [auch anderer Schulen]):
IMMER DASSELBE!
Beim (bis heute) Zentralthema "Analysis, Unterabteilung Integration" kommt garantiert
(gerne verpackt als rein
zufällig exakt parabelförmiges Industriegelände;
merke: Integral und Fläche sind nicht dasselbe,
und deshalb immer hübsch brav zwischen den Nullstellen integrieren und
massenhaft Betragsstriche drum!)
oder
(und das insbesondere im Zeitalter potentiell ökonomischer Anwendbarkeit)
:
Beispiele:
Die Zu-/Abflussfunktion beschreibt
(wie der Name
schon sagt),
Ein Beispiel, nämlich das notorische Schwimmbad, das zu
Beginn schon 10 m3 Wasser enthalte:
der Bademeister, der die Pumpe bedient, hat ein ungeheuer
feines Händchen, so dass er es tatsächlich schafft, das Wasser exakt nach der
Funktion f: y = x3 - 8x2 + 15x in das Schwimmbad rein- und
wieder aus ihm rauszupumpen
(wieso nach genau dieser
Funktion und wieso er erst Wasser rein- und dann einen Teil davon sofort wieder
rauspumpt, wissen nur die Götter;
oder er pumpt einfach unheimlich gerne: rein - und raus -
und rein - und raus ..., was doch was ungemein Meditatives hat:
;
oder er betreibt mit der Hand ein Wellenbad;
oder er simuliert so gerne Ebbe und Flut :-)
Der Zu- bzw. Abfluss wird durch folgenden Funktionsgraphen dargestellt:

Daran erkennt man:
(der Bademeister ist also immer gut beschäftigt).
Bemerkenswert ist insbesondere, dass die Nullstellen n1, n2 und n3 der Zu-/Abflussfunktion
Schauen wir uns das genauer an:
Insgesamt sind also immer größergleich 10 m3 Wasser im Schwimmbecken, ist es also trotz der Null(!)stellen von f nie leer.
(Von wegen "offensichtlich":
eigentlich ist hier schon klar, worauf alles hinausläuft:
es wird (anfangs) viel mehr Wasser in unser Schwimmbecken rein- als [nachher] wieder rausgepumpt,
weil die linke FLÄCHE viel größer ist als die rechte FLÄCHE:
;
und ich stelle mir da natürlich prompt richtige Wasserflächen vor:

[für Klugscheißer: beide Seen sind natürlich gleich tief])
Schauen wir uns nun anhand dreier eng aufeinander folgender Zeitpunkte der Reinpumpphase an, was beim Füllen des Schwimmbads passiert:

Wenn wir nun wissen wollen, wieviel Wasser in allen
Zeitpunkten t1,
t2 und t3
zusammen geflossen
ist, müssen wir die drei Balken |, |
und |addieren.
Nun bilden die drei Balken
|, | und
| aber in unserer
(zugegebenermaßen
vereinfachten)
Darstellung aber die Fläche
, d.h. wenn wir den Zu-
bzw. Abfluss in einem Zeitraum berechnen wollen, müssen wir die Fläche bzw. das
Integral berechnen
(wobei hier nicht - eigentlich dringend nötig - zwischen Fläche und Integral unterschieden wird):

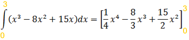
Um nun zu erfahren, wieviel Wasser in den ersten drei
Stunden, also während der Reinpumpphase zufließt, rechnen wir

![]()
15,75 (m3)
Wohlgemerkt: das ist
Um nun herauszubekommen, wieviel Wasser denn
nun nach
drei Stunden insgesamt im Schwimmbecken ist, müssen wir noch den Anfangswert 10
m3 addieren und erhalten 25,75 m3 .