kann man erklären, was man (nicht) verstanden hat?
oder: wie der kleine Gauß mal eben schnell
die Zahlen
addiert hat
| "»Aber du hast den ganzen Tag daran geknobelt?« »Fünf Minuten, Herr Wanzka.« Er schmunzelt und sieht zu, wie ich die Bücher vom Tisch nehme. »Ab heute ist er ein Fürst«, sage ich, »der Fürst der Mathematik!«" (aus ) |
Ich hatte mal (auf der Seite
) geschrieben:
"Wer schon alles weiß, kann nur noch erklären, aber nicht mehr erzählen."
Inzwischen scheint es mir vielmehr regelrecht falsch, dass, wer alles verstanden hat, deshalb auch automatisch "immerhin" gut erklären
(wenn schon keine Geschichten erzählen)
kann:
(Nebenbei:
- gute Lehre ist weit mehr als nur "gut erklären": sie sollte auch "ans eigene Nachdenken bringen";
- die Verzahnung von Forschung und Lehre bleibt enorm wichtig, denn das Ideal eines Professors wäre doch ein exzellenter Forscher, der seinen Studenten genau dieses Forschen auch vermitteln kann.)
Man höre und staune: ich vergebe gerne auch in Mathematik Referate, und zwar keineswegs nur über im engsten Sinne Mathematisches, sondern beispielsweise auch über den Roman
"Onkel Petros und die Goldbachsche Vermutung" von Apostolos Doxiadis oder über Mathematikgeschichte, wovon ich mir versprechen, dass
Der konkrete Anlass:

Ein Schüler stellte in einem Referat die berühmte Gauß-Anekdote vor, die in einer Version (ebenso klischeehaft wie hübsch dramatisch ausgeschmückt) folgendermaßen lautet:
"Liggetse! Mit diesen plattdeutschen Worten legte im Jahre 1786 ein neunjähriger Schüler seine Schiefertafel mit der Rückseite nach oben auf den Tisch des Klassenzimmers der Katharinenvolksschule zu Braunschweig und setzte sich wieder auf seinen Platz. Fest davon überzeugt, daß er die von seinem Lehrer der ganzen Klasse gestellte Rechenaufgabe richtig gelöst habe. Der Schulmeister Büttner war allerdings anderer Meinung; denn besagter Knabe hatte nur wenige Sekunden für eine Rechenaufgabe gebraucht, welche die Schüler längere Zeit beschäftigen sollte. Waren doch sämtliche Zahlen von 1 bis fortlaufend 100 schriftlich zusammenzuzählen. Für neun- bis zehnjährige Volksschüler wahrlich keine leichte Aufgabe!
Während die in dem niedrigen Klassenzimmer herrschende Stille nur durch das Kratzen von etwa vierzig Griffeln auf den Schiefertafeln unterbrochen wurde, blickte Lehrer Büttner bald zu dem seelenruhig mit gefalteten Händen dasitzenden, seiner Meinung nach äußerst vorwitzigen Schüler hinüber, bald auf seine von den Knaben sehr gefürchtete Karwatsche, mit welcher er falsche Resultate recht schmerzhaft zu »rektifizieren« pflegte. Mit diesem pädagogischen Instrument gestaltete er seinen Unterricht gegebenenfalls außerordentlich eindrucksvoll! Als Zeichen seiner unbedingten Autorität war sie stets bei der Hand.
»Dir werde ich den Vorwitz noch nachhaltig austreiben!« dachte der Schultyrann und liebäugelte erneut mit seiner Karwatsche. Aber er sollte sich getäuscht haben! Als der Stapel der nach und nach übereinandergelegten Schiefertafeln am Schluß der Unterrichtsstunde umgedreht wurde, so daß die zuerst abgegebene Tafel nun oben lag, wollte Lehrer Büttner seinen Augen nicht trauen: In klarer Schönschrift stand darauf nur eine einzige Zahl: 5050! Und diese Zahl war zweifellos das richtige Resultat.
Die übrigen Tafeln waren von oben bis unten beschrieben, aber die meisten wiesen ein falsches Ergebnis auf. Nachdem die unglücklichen Besitzer dieser Tafeln, der Größe ihres Fehlers entsprechend, mit der Karwatsche behandelt worden waren, rief der Lehrer durch das Schluchzen der gemaßregelten Opfer hindurch: »Gauß! - Nach vorne kommen! - Heraus mit der Sprache! Wie ist er zu diesem Resultat gelangt?« »Im Kopf ausgerechnet, Herr Lehrer! Eine so einfache Aufgabe brauche ich doch nicht schriftlich zu lösen.« [...] »So, so! Ganz leicht konntest du das! - Na, dann setz' dich mal ganz schnell wieder auf deinen Platz!«
»Ist doch ein Teufelskerl, dieser kleine Gauß«, brummte der Lehrer. Im stillen aber dachte er: »Was soll ich dem eigentlich noch beibringen? Meine Karwatsche ist hier jedenfalls fehl am Platze.«"
(zitiert nach)
Da muss man sich zweierlei deutlich klar machen:
Anekdote
[griechisch »nicht Herausgegebenes«] die, skizzenhaft pointierte Erzählung einer bemerkenswerten Begebenheit oder eines wahren oder erfundenen charakteristischen Ausspruchs einer bekannten Persönlichkeit. [...]
(Der Brockhaus in Text und Bild Edition 2002)Eine Anekdote ist also Literatur in dem Sinne, dass das Dargestellte "nur erfunden" sein kann, aber doch eine "innere" Wahrheit hat, bzw. es ist "gut" erfunden (nach Aristoteles nicht unbedingt wahr, aber doch wahrscheinlich): die Geschichte, die da über jemanden erzählt wird, wäre diesem allemal zuzutrauen. Und sie bringt gut auf den Punkt (vgl. "pointiert"), was diese Person vielleicht nie exakt so erlebt hat, sie aber doch "ausmacht(e)".
Im vorliegenden Fall der Gauß-Anekdote also: vielleicht hat diese "5050-Geschichte" überhaupt nie stattgefunden - oder zumindest nicht so, wie Mehling sie sich - inkl. der Gedanken des Lehrers! - ausmalt. Denkbar wäre also beispielsweise, dass der kleine Gauß zwar schnell, aber eben doch nicht vollständig im Kopf gerechnet hat.
Und auch wenn Gauß selbst viel später diese Geschichte erzählt haben sollte, muss sie "so" nicht stimmen. Nicht dass ich damit Gauß der Lüge zeihen wollte, aber ihn könnte eben doch seine Erinnerung täuschen. Wir Menschen neigen ja (etwa laut Max Frisch) dazu, unserem Leben - regelrecht widersprüchlich - nachträglich eine Zielgerichtetheit zu verpassen, also zu zeigen, dass alles so kommen musste, obwohl das (auch und gerade bei späteren Berühmtheiten) anfangs gar nicht so klar war.
(War also der kleine Gauß eben keineswegs so genial, wie die Anekdote es vorgibt, sondern - auch mathematisch - ein weitgehend "normaler" Junge? Das würde das spätere Genie ja keineswegs abwerten, sondern sogar noch erstaunlicher und bewundernswerter erscheinen lassen! Denn jemand, dem alles wie von selbst, also ohne eigene Verdienste [auch Mühen] zufliegt, ist wohl eher unverstehbar als bewundernswert. Da muss man aber nicht neidisch oder gar missgünstig werden [genüsslich auf den Untergang des Helden warten], sondern man respektiere frohgemut, dass einige Menschen sozusagen von Geburt an schlauer sind als man selbst.)
- , dass der spätere "Princeps Mathematicorum" (Fürst der Mathematik) nicht ein Spätstarter, sondern schon sehr frühzeitig eben ein Wunderkind war. "Wunderkind" heißt aber doch wohl nicht, dass er schon sehr früh konnte, was andere später dann eben auch konnten, sondern, dass er sehr früh ein unerreichbares Genie war.
- , dass der kleine Gauß ein spezifisches mathematisches Problem auf völlig unerwartbare Art gelöst hat, nämlich fachsprachlich gesagt die schon erheblich abstrakte Erstellung einer Summenformel für eine Reihe: er hat schon als Kind etwas typisch Mathematisches radikal vorgemacht: etwas sehr Langes rabiat gekürzt.
Aus a. und b. folgt aber, dass die Anekdote nicht erzählt wird (werden sollte), um Gauß als Vorbild darzustellen oder heutige SchülerInnen daran (wohl immer negativ) zu messen, sondern einzig und allein, um sie zu erstaunen und damit sie vielleicht ein wenig Spaß dabei haben, wenn sie dem kleinen Gauß auf die Schliche kommen (s.u.).
Das Staunen verschwindet aber allzu schnell: wenn man erstmal die (von mir oben in der Anekdote ja absichtlich weggekürzte) Lösung kennt
(und überhaupt den ganzen mathematischen Reihen-Rattenschwanz, der aus ihr folgt),
kann man sich allzu leicht nicht mehr vorstellen, dass der kleine Gauß da ein ganz erhebliches Problem gelöst hat - und dass heutige SchülerInnen das nicht können.
(Nebenbei: es ist völlig unerheblich, ob das Problem vorher schon von anderen Mathematikern gelöst worden war, Hauptsache, der kleine Gauß kannte diese Lösung noch nicht.)
Es bleibt dann vielleicht nur das Staunen, dass sogar ein Neunjähriger das Problem schon selbstständig lösen konnte, während das Staunen über den mathematischen Trick vielleicht endgültig abhanden gekommen ist.
Es ist wie mit einer
Kippfigur:
- erst sieht man nur in der Mitte eine Art weißen Kelch oder Pokal (noch nicht die Lösung),
- dann urplötzlich links und rechts zwei schwarze, einander zugewandte Gesichter (die Lösung) - und kann sich dann nicht mehr vorstellen, wie man da jemals einen Kelch oder Pokal gesehen haben kann.
Und doch kann man es durchaus üben, zwischen den beiden Bildern einer Kippfigur hin und her zu "switchen", ja, beide (sozusagen die Synthese) sogar gleichzeitig zu sehen: einen Pokal zwischen zwei Gesichtern
(so ähnlich wie der neckische Apfelsinentanz, der auf Partys gerne vom Oberzeremonienmeister verordnet wird, damit sich die Tanzpartner "legal" näher kommen: jedes Pärchen muss mit einer Apfelsine zwischen den Stirnen tanzen, die bei den Bewegungen natürlich verrutscht und deshalb zu spaßigen Annäherungen führt).
Vielleicht macht das auch den "guten" Lehrer aus: er kann sich durchaus noch vorstellen, wie das Problem "von vorne" aussah, als es also noch nicht gelöst war. Und vielleicht kann er sogar auch zeigen, wie der kleine Gauß auf die Lösung gekommen sein könnte
- und das völlig unabhängig davon, ob der kleine Gauß tatsächlich auf diese Art auf die Lösung gekommen ist, ja, ob er sich überhaupt bewusst war, wie er "drauf" gekommen ist, oder nicht doch vielmehr einen ihm selbst (und das insbesondere aus der Rückschau Jahrzehnte später) unerklärlichen "Geistesblitz" hatte.
Nur eines dürfte die Rekonstruktion "wie der kleine Gauß auf die Lösung gekommen sein könnte" unter keinen Umständen tun: das Wunder (den Geistesblitz) wegrationalisieren, also als letztlich nur banal darstellen
(die Rache der Banausen an den Genies).
Es wäre schlichtweg unfair, das oben schon kurz angesprochene Schülerreferat hier öffentlich zu verhandeln, wenn es grausig schlecht gewesen wäre. Im Gegenteil: es war mathematisch ordentlich und zudem lebendig vorgetragen - und hakte doch an einer interessanten, mich hier einzig und allein interessierenden Stelle.
Und das interessiert mich nicht, weil da ein typischer "Schülerfehler" vorkam, sondern weil der Fehler (wohl eher: das Problem) mir geradezu typisch für viele Vortragende zu sein scheint, also beispielsweise auch für Lehrberufsanfänger (Referendare), ja sogar auch für Lehrer mit langjähriger Berufserfahrung (also auch mich selbst immer wieder!).
Man muss sich nur mal klar machen, dass ein (Schüler-!)Referent bei diesem Thema eine ganze Menge methodisch-didaktische Entscheidungen treffen muss (und sei´s unbewusst bzw. mangels angedachter Alternativen):
- sagt man das als Referent nur (wie es wohl auch der "Schulmeister" [!] Büttner getan haben wird),
- oder schreibt man es an?
Und wenn man es anschreibt, wie denn?:
- verbal, also "addiert alle Zahlen von 1 bis 100"?
- mathematisch, also
- verkürzt 1 + 2 + 3 + ... + 100 = ?
- oder doch ein bisschen symmetrischer (s.u.) 1 + 2 + 3 + ... + 98 + 99 + 100 = ?
- oder vollständig: 1 + 2 + 3 + 4 + 5 + 6 + 7 + 8 + 9 (und auch das kürze ich hier aus Faulheit wieder) + 91 + 92 + 93 + 94 + 95 + 96 + 97 + 98 + 99 + 100 = ?
Hier wird bereits deutlich, dass u.a. "vortragstechnische", damit aber auch "dramaturgische" Entscheidungen zu treffen sind:
- will man das Publikum mit dem ewig langen Anschreiben von hundert Zahlen langweilen - oder wäre das umgekehrt sogar nötig, um die (vordergründige) Monstrosität der Aufgabe überdeutlich zu machen?
- was macht das Publikum währenddessen?
- schaut es brav oder gar zunehmend erschüttert dem ewig langen Anschreiben zu
- oder wird es sich gelangweilt abwenden und Zweiergespräche beginnen?
Es könnte also etwa sinnvoll sein, den langen Rattenschwanz aller hundert Zahlen
(wenn man ihn denn überhaupt für wichtig hält)
vorher aufzuschreiben und nur noch schnell an die Wand zu projizieren.
Überhaupt hat man wohl die Wahl zwischen Pest und Cholera und gibt es also kein Patentrezept:
- will man, wie eben schon gezeigt, bewusst die Monstrosität der Aufgabe überdeutlich vorführen, indem man alle Summanden zeigt,
- oder nutzt man bewusst die Kurzschreibweisen (verbal oder 1 + 2 + 3 + ... + 100 = ?), um anzudeuten, dass es da doch ein kürzeres Rechenverfahren als die Nacheinander-Addition aller hundert Einzelzahlen gibt (geben könnte). Überhaupt finde ich es ja schon bemerkenswert, dass die Alltagssprache "addiert alle Zahlen von 1 bis 100", also schon eine erhebliche Abstraktion, so ganz nebenbei möglich macht.
(Nebenbei: die Nacheinander-Addition aller hundert Einzelzahlen ist nicht nur extrem umständlich, sondern hat auch den Nachteil, dass ein einziger - bei so vielen Rechnungen fast unvermeidbarer - Rechenfehler oder Auslasser unweigerlich das Gesamtergebnis falsch macht.)
Kommt noch ein anderes "Kippfiguren-Problem" hinzu:
- mag sein, dass der Schulmeister Büttner die Schüler nur mit einer Idiotentätigkeit beschäftigen wollte und vermutet hat, dass die Schüler die Lösung (in der vorgegebenen Zeit) sowieso nicht finden würden. D.h. aber doch auch, dass er nichtmal selbst das Ergebnis kennen musste. Da wäre es ein schöner Bumerang (Trick 17 mit Selbstüberlistung) gewesen, wenn er
- es selbst nicht gewusst hätte,
- nun mit dem Ergebnis des kleinen Gauß konfrontiert worden wäre
- und dann (ohne den Trick des kleinen Gauß zu kennen) selbst umständlich hätte nachrechnen müssen, um das Ergebnis des kleinen Gauß überprüfen zu können.
(Eine Alternative wäre natürlich, dass er den kleinen Gauß einfach gefragt hätte, wie dieser es denn gemacht hat [vgl. jene Stelle, die ich oben im Zitat bewusst noch ausgelassen hatte].)
- Jeder Referent aber kennt natürlich den Trick des kleinen Gauß - und das Publikum weiß das!
Daraus folgt ein typisches Lehrerproblem: bei jeder (üblichen) Aufgabe, die der Lehrer den SchülerInnen stellt, ist von Anfang an klar, dass der Lehrer (im Gegensatz zu den SchülerInneN) die Lösung bereits kennt bzw. hat. Dadurch ist aber jede Aufgaben-Frage nur mehr rhetorisch, und die SchülerInnen könnten antworten: "Wieso fragen Sie uns das, wo Sie die Antwort doch längst selbst kennen?"
(Unterrichtssituationen sind also oftmals ausgesprochen künstlich bzw. kommunikativ unrealistisch!)
Aber wirklich rhetorisch ist eine Frage wohl erst, wenn der Fragende die Antwort nicht nur bereits selbst kennt, sondern sie auch "unausgesprochen" mitliefert - wenn (allzu oft im Unterricht) die Frage also suggestiv ist: "Wieso soll ich noch sagen, was Sie und ich bereits wissen?"
Die Gaußanekdote ist aber völlig witzlos oder nur noch zur Beschämung geeignet, wenn die Lösung als selbstverständlich vorausgesetzt wird.
Eine interessante methodisch-didaktische Frage ist, ob man das Publikum - wie oftmals im modernen Theater - einbeziehen, es also die Addition der Zahlen von 1 bis 100 selbst durchführen lassen sollte
(und einen ganz andere Frage ist, ob das Publikum überhaupt bereit ist [gemacht werden kann], sich derart einbeziehen zu lassen; ich zumindest habe mich bei modernen Theateraufführungen schon manchmal arg vorgeführt, also beschämt gefühlt - und mich auch schon mal geweigert, mitzumachen).
Und wenn man das Publikum einbeziehen will, gibt es (mindestens) zwei Arten, dies zu tun:
Das ist durchaus ein dramaturgischer Unterschied: in letzterem Fall ist viel deutlicher, dass es "irgendeine" (nämlich die vom kleinen Gauß gefundene) Schnelllösung gibt, sollte ein intelligentes Publikum also wissen, dass es sich erst gar nicht an die "Nacheinander-Addition" begeben, sondern von Anfang an ein Schnellverfahren suchen sollte.
Aber vielleicht hört das Publikum ja auch beim ersten Weg diese "message" heraus, denn ein Vortragender
Problematisch ist aber, dass das Publikum
(wenn es die Anekdote nicht bereits kennt)
eh keine Chance hat, die Schnelllösung zu finden.
(Und ist es eigentlich völlig ausgeschlossen, dass jemand, der die Anekdote noch nicht kannte und auch kein Vorwissen über Reihensummen hat, eben doch das Schnellverfahren entdeckt? Wie geht man als Referent dann damit um? Darf man ihn - der Erkenntnis des restlichen Publikums zuliebe - ewig ignorieren, ihm also sein Erfolgserlebnis rauben?)
Zu der Schnelllösung bedurfte es eben eines (kleinen) Genies, und wir sind nunmal alle keine Genies, sondern im besten Fall "guter Durchschnitt".
(Nebenbei sollte man auch bedenken: was ist eigentlich, wenn im Publikum mindestens einer sitzt, der die Anekdote und damit die Schnelllösung schon kennt - und als ewiger "Klugscheißer" sofort den Mörder verrät?
Ein interessantes "Verfahren" hat mal eine Schülerin in einem Referat angewandt, als ein Schüler schnell die [scheinbar] richtige Lösung einer dem Publikum gestellten Aufgabe hatte, aber immerhin nicht so dreist war, sie sofort rauszuposaunen und damit allen anderen MitschülerInneN die eigene Entdeckung zu rauben: die Referentin, die während der Aufgabenlösung durch das Publikum ja Zeit hatte, ging zu dem Schüler hin und unterhielt sich leise mit ihm über die [wie sich dann herausstelle: falsche] Lösung.)
Wenn man also dem Publikum überhaupt die Aufgabe stellt, sollte man sich bewusst sein, dass man das Publikum irgendwann (wann genau und wie?) wird unterbrechen müssen, um dann zur Lösung des kleinen Gauß zu kommen.
Aber muss man dem Publikum den "Frust", die Lösung nicht zu finden, zumuten, bzw. darf man sie ihm nicht ersparen? Kann ein Publikum, dass nicht selbst (vergeblich) Arbeit investiert hat, überhaupt ermessen, wie genial die Lösung des kleinen Gauß war?
Ich hatte eben zudem von einem "intelligenten" Publikum gesprochen, das herausgehört haben wird (sollte), dass es nicht um das "Nacheinander-Aufaddieren" gehen kann, sondern "irgendeine" schnellere Lösung gesucht ist.
Was nun, wenn "das" Publikum oder zumindest Teile von ihm nicht so "intelligent" ist (sind)? Lässt man es/sie stumpf weiteraddieren? Verkauft man das Publikum für dumm oder nimmt man es im Gegenteil ernst, wenn man es ggf. nochmals explizit auf eine gesuchte Schnelllösung hinweist?
(Wieder nebenbei: wie bekommt der Referent überhaupt mit, was gerade im Publikum läuft, ob also beispielsweise alle noch "stumpf" aufaddieren oder schon einige nach einem Schnellverfahren suchen? Und wie reagiert der Referent dann? Auf Einzelne im Publikum oder laut vor dem gesamten Publikum? Gelingt es ihm also beispielsweise, Einzelerkenntnisse dem Gesamtpublikum "zuzutragen", ohne diesem nun die eigenen Entdeckungen "abzuwürgen"?
Wohlgemerkt: das lässt sich nicht alles vorher planen - aber vielleicht doch in groben Zügen vorausdenken. In die Vortragsplanung sollte - sicherlich ein hehres Ziel - also nie nur das rein Fachliche eingehen, sondern immer auch das Publikum mitbedacht werden. Aber es gibt wohl auch Naturtalente, die spontan mit dem Publikum umgehen können.
Wichtig scheint mir auch die Einstellung gegenüber dem Publikum: zwar sollte man auch damit rechnen, dass es dumm und desinteressiert ist, es ansonsten aber nicht als Müllabladeplatz für die eigenen Erkenntnisse, sondern als "denkendes Organ" betrachten.)
Kann bzw. muss man dem Publikum, wenn es (erwartbar) nicht weiterkommt, Tipps geben, und zwar solche, die nicht schon die Gesamtlösung verraten? Und wie könnten solche Tipps aussehen?
Z.B. so?:

Schauen wir uns mal genau an, was da vorgegeben wird - und was nicht:
(und nebenbei [das wird unten noch wichtig]: vielleicht hat der kleine Gauß gerade eben diese Spiegelsymmetrie spontan vor seinem inneren Auge "gesehen");
wird zwar schon angedeutet, dass 1 und 100 in einer "Beziehung" stehen, aber wegen des ? noch nicht verraten, in welcher;
(erstmal nur die tatsächlich angezeigten, also 2/99 und 3/98, damit aber auch indirekt die dazwischenliegenden, hier noch ausgesparten)
in einer ? (derselben ! ) Beziehung zueinander stehen:

Man könnte sich aber auch fragen, ob mit der Spiegelsymmetrie nicht eben doch schon der entscheidende "Gag" verraten und damit dem Publikum geraubt wurde.
Der Schüler hatte das in seinem Referat ein wenig anders gemacht - und war weiter gegangen:

gezeigt, sondern es verbal erklärt,
hat er dann auch sofort die "Beziehung" verraten, nämlich dass die Addition der beiden jeweiligen symmetrischen Zahlen immer 101 ergibt.
Man könnte also sagen, dass er zu schnell war (unten wird uns interessieren, weshalb).
Und zu schnell hat er dann auch gesagt, dass es 50 solche Summenden gibt und sich somit als Gesamtsumme 50 • 101 = 5050 ergibt.
Er hat also einfach nur offenbart, was ich oben bewusst aus dem Zitat rausgeschnitten hatte:
»Einfache Aufgabe«, schnaubte der gestrenge Pädagoge, »das muß er mir wohl etwas näher erklären!« - »Nun, ich habe mir überlegt, daß die erste Zahl 1 und die letzte Zahl 100 zusammen 101 ergeben. Das Gleiche gilt für 2 plus 99, für 3 plus 98, für 4 plus 97, und so weiter, bis hin zu 50 plus 51. Im ganzen also 50 Zahlenpaare. 50 mal 101 aber ergibt 5050! - Das konnte ich dann ganz leicht im Kopf ausrechnen.«
Mit der Mitteilung, dass es 50 Summanden gebe, bin ich aber an der schon oben angedeuteten, mich "einzig und allein interessierenden Stelle":
dass nämlich die Einzelsummen der symmetrischen Zahlen jeweils 101 ergeben, hat das Publikum noch brav (und wohl auch überzeugt) "geschluckt", nicht aber, dass es 50 solcher Einzelsummanden gibt.
Denn ein Detail aus dem Zitatausschnitt hatte der Referent eben doch nicht genannt:
"[...] und so weiter, bis hin zu 50 plus 51."
Genau genommen war es so, dass zumindest ein Schüler die "50" nicht verstand und da auch laut nachfragte, während unklar bleibt, ob die anderen SchülerInnen bzw. wie viele von ihnen das verstanden hatten.
Wenigstens ergab sich dann eine Kommunikation Referent/Einzelschüler - und schaltete das restliche Publikum (das die "50" schon verstanden hatte?) vollständig ab, ging es in Zweiergespräche über, entwickelte sich also ein ziemlicher Lärmpegel - und hatte der Referent hinterher größte Mühe, wieder zu seinem Vortrag vor dem Gesamtpublikum zurückzukehren.
Der Referent machte dann etwas durchaus Naheliegendes, beschränkte sich nämlich auf nur zehn leicht anschreibbare und zu übersehende Zahlen, also
1 + 2 + 3 + 4 + 5 + 6 + 7 + 8 + 9 + 10,
behauptete dann aber wieder nur, dass es "offensichtlich" fünf Summanden gebe.
Der Effekt war Irritation im Publikum, da jetzt ja die Einzelsummen nicht mehr 101, sondern 11 ergaben.
Man könnte fast sagen, dass der Referent Teufel mit Beelzebub ausgetrieben hatte: vielleicht war jetzt die Anzahl der Summanden verständlicher, aber leider hatten sich dabei auch die Einzelsummen verändert.
Und danach musste das Publikum dann mit offensichtlichen Übertragungsschwierigkeiten doppelt zurück springen, nämlich zu einer anderen Anzahl (50) und anderen Einzelsummen (101).
Kommt hinzu, dass der Referent die Anzahl 5 anhand der Reihe
1 + 2 + 3 + 4 + 5 + 6 + 7 + 8 + 9 + 10
eben nur schnell behauptet hatte, statt dem Publikum eine Chance zu geben, das später dann auf die längere Reihe
1 + 2 + 3 + 4 + 5 + ... + 96 + 97 + 98 + 99 + 100
übertragbare Prinzip zu erkennen
(ein Prinzip, das ich hier schon deutlicher gemacht habe, indem ich die "entsprechenden" Zahlen der beiden Reihen übereinander angeordnet habe).
Hier nun ergeben sich für mich zwei Fragen:
Zu 1., also "Wie hätte der Referent es besser machen können?"
Meine Frage läuft dabei darauf hinaus, ob man nicht eben nur die "50" besser herleiten könnte, sondern sozusagen "in einem Abwasch" die "50" und die "101" gleichzeitig.
Und da, scheint mir, kann es hilfreich sein, sich zu überlegen, wie der kleine Gauß überhaupt auf seine Lösung gekommen sein könnte
(wenn sie nicht eben doch einem prinzipiell uneinsehbaren intuitiven Geistesblitz entstammte; nur fallen solche Geistesblitze wohl nur selten einem "Normalsterblichen" zu, sondern wohl eher dem, der für sie "bereit" ist;
und überhaupt lassen sich natürlich im Nachhinein arg einfach schöne Geschichten rekonstruieren [wohl eher erfinden], wie es zu etwas gekommen ist und angeblich sogar kommen musste).
Könnte es sein, dass der kleine Gauß bei allem offensichtlichen Abstraktionsvermögen vielleicht doch erstaunlich anschaulich gedacht hat, ja dass vielleicht überhaupt erst eine Anschauung ihm die Abstraktion ermöglicht hat?
(Und vielleicht lässt sich da am meisten von ihm lernen!)
Welche Anschauung?
die oben schon angedeutete Möglichkeit: hat er sich vielleicht eben doch die ersten und die letzten Zahlen aufgeschrieben und dann einen "wirklichen" Spiegel da hinein gedacht?:
Ja, hat der kleine Gauß sich diesen Spiegel vielleicht sogar dynamisch gedacht?: dass da nicht etwas bereits gespiegelt ist, sondern eben gerade gespiegelt wird (also beispielsweise die 1 von links nach rechts zur 100 "rüberwandert")?
Es könnte also sein, dass der kleine Gauß "nur" schon etwas voll ausgebildet hatte, was in der Tat zentral wichtig für alle MathematikerInnen und Naturwissenschaftler ist: ein Gespür für

Die simpelste Symmetrie ist aber die Aufgabenstellung selbst:
Nebenbei: anhand von
wird auch deutlich, dass man solche Erkenntnisse wie die der Symmetrie vielleicht auch dadurch erhält, dass man eben nicht alles aufschreibt (die gesamte Zahlenreihe von 1 bis 100), sondern es in der verknappten, bereits symmetrischen Form belässt.
Bzw. in
kann man die Spiegelsymmetrie vielleicht nur sehen, wenn man sich am Anfang die drei (!) Zahlen 1, 2 und 3 sowie am Ende die drei (!) Zahlen 98, 99 und 100 aufschreibt, also nicht z.B. anfangs vier, am Ende aber nur drei Zahlen.
Das könnte aber auch heißen: man entdeckt nicht die Symmetrie, sondern sieht sie hinein.
"Ach, du liebes Herrgottle von Braunschweig, was ist denn das für ein schrecklicher Rattenschwanz von Zahlen?"
Und dann hat´s geklickt, bzw. er hat einfach anschaulich-wortwörtlich genommen, was andere nur "im übertragenen [abstrakten] Sinne", also viel zu harmlos auffassen würden:
"A propos Rattenschwanz oder von mir aus auch Schlange. Ich sehe in der Zahlenreihe wirklich eine Schlange - und die krümmt und schlängelt sich
- und beißt sich in den eigenen Schwanz:"
"Wir, der Schwanz der Welt, wissen nicht, was der Kopf vorhat."
(Georg Christoph Lichtenberg):
wird der Kopf uns bald verschlingen?Ein wenig stilisiert könnte das dann folgendermaßen aussehen:
Fangen wir nun also mit dem "Kopf", d.h. den ersten Zahlen an:
Da "schreit" der Kopf dann regelrecht nach folgendem "Schwanz"/Ende:
Und hier könnte einem nun tatsächlich "wie von selbst" der alles entscheidende Trick auffallen:
Mehr noch: in dieser Darstellung wird auch viel besser
(ich hab´s im Unterricht ausprobiert)
als bei der Spiegelsymmetrie klar, wie viele Summanden es gibt bzw. - hier im Bild - wo der "Knick" der Schlange liegt: die "letzten" (am weitesten rechts liegenden) Summanden, die zusammen 101 ergeben, sind 50 und 51:
Insgesamt gibt es also oben und unten jeweils 50 Summanden und daher auch 50 Summen von jeweils 101.
Bemerkenswert dabei ist, dass man überhaupt erst über die "notwendige" Summe 101 darauf kommt, dass der Knick zwischen 50 und 51 liegt, dass also die Summe und die Anzahl der Summen in diesem Schlangenbild eng zusammenhängen.
Nun ahne ich schon den Einwand, dass der kleine Gauß derart an eine Schlange gedacht habe, sei ja wohl an den Haaren herbeigezogen und vollends historisch unrealistisch.
Zu allererst also mal: selbst wenn der kleine Gauß nicht so gedacht haben sollte, ist die Schlange doch allemal didaktisch "hocheffizient": aus

ergibt sich der gesamte restliche rechnerische "Rattenschwanz" fast wie von selbst, bzw. schon allein die nackte, noch zahlenlose

"ist" regelrecht die zentrale Idee, wobei man allerdings - negativ gewendet - auch sagen könnte, sie verrate eben auch schon die ganze Idee.
Wie aber an einem anderen berühmten Beispiel aus der Wissenschaftsgeschichte deutlich wird, ist die Schlangen-Idee nicht völlig absurd:
"Während meines Aufenthaltes in Gent in Belgien bewohnte ich elegante Junggesellenzimmer in der Hauptstrasse. Mein Arbeitszimmer aber lag nach einer engen Seitengasse und hatte während des Tages kein Licht. Für den Chemiker, der die Tagesstunden im Laboratorium verbringt, war dies kein Nachtheil. Da sass ich und schrieb an meinem Lehrbuch; aber es ging nicht recht; mein Geist war bei anderen Dingen. Ich drehte den Stuhl nach dem Kamin und versank in Halbschlaf. Wieder gaukelten die Atome vor meinen Augen. Kleinere Gruppen hielten sich diesmal bescheiden im Hintergrund. Mein geistiges Auge, durch wiederholte Gesichte ähnlicher Art geschärft, unterschied jetzt grössere Gebilde von mannigfacher Gestaltung. Lange Reihen, vielfach dichter zusammengefügt; Alles in Bewegung, schlangenartig sich windend und drehend. Und siehe, was war das? Eine der Schlangen erfasste den eigenen Schwanz [womit Kekulé plötzlich die ringartige Struktur des Benzols klar war!] und höhnisch wirbelte das Gebilde vor meinen Augen. Wie durch einen Blitzstrahl erwachte ich; auch diesmal verbrachte ich den Rest der Nacht um die Consequenzen der Hypothese auszuarbeiten.
[...]
Lernen wir träumen, meine Herren, dann finden wir vielleicht die Wahrheit:
'Und wer nicht denkt,
Dem wird sie geschenkt,
Er hat sie ohne Sorgen' -
aber hüten wir uns, unsere Träume zu veröffentlichen, ehe sie durch den wachenden Verstand geprüft worden sind."
(Friedrich August Kekulé von Stradonitz, der Entdecker des Benzolrings, in seiner Berliner Rede zum 25jährigen Jubiläum des Benzolrings 1890; zitiert nach
; rote Hervorhebung von mir, H.St.;
inzwischen wird allerdings bezweifelt, dass Kekulé tatsächlich derart im Traum auf den Benzolring gekommen ist;
und nebenbei: die Schlange, die sich selbst in den Schwanz beißt, scheint ein uraltes Symbol derGnostik zu sein)
Nur was besagt dieses Traumerlebnis Kekulés schon über den kleinen Gauß?:
Zu 1.:
dass es auch im Wachsein "traumartige/traumhafte" Eingebungen gibt
(und sie als Eingebungen empfunden bzw. interpretiert werden),
ist ja spätestens seit Henri Poincarés Aufsatz über mathematische "Schöpfung" bekannt.
Zu 2.:
es geht ja auch gar nicht darum, dass der kleine Gauß eine Idee Kekulés "geklaut" haben könnte, sondern vielleicht gibt es ein "Reservoire" von Bildern, das Menschen aller (?) Zeiten und aller (?) Kulturen gleichermaßen zur Verfügung stand und steht.
Man wird heraushören, dass ich hier auf die Archetypen-Idee C.G. Jungs anspiele
(und man muss ja nicht an "die" Psychoanalyse bzw. all ihre Ausläufer glauben, um doch immerhin diese Idee in Erwägung ziehen zu können):
Ar|che|typ [auch: ar...; gr.-lat.; "zuerst geprägt; Urbild"] der; -s, -en u. Archetypus der; -, ...pen: 1. Urbild, Urform. 2. Komponente des kollektiven Unbewußten im Menschen, die die ererbte Grundlage der Persönlichkeitsstruktur bildet (C. G. Jung; Psychol.). [...]
(Duden Herkunftlexikon)
Und einer dieser Archetypen scheint eben die Schlange zu sein
Damit aber zurück zu meiner Ausgangsfrage und dem ursprünglichen Anlass dieses Textes
(alles andere hatte sich - typisch für mich - erst während der Beschäftigung mit dieser Ausgangsfrage beim Schreiben ergeben):
"kann man erklären, was man (nicht) verstanden hat?"
Und Anlass für diese Ausgangsfrage war wiederum, dass da bei dem Referat des Schülers an den oben genannten Stellen Verständnisprobleme der MitschülerInnen auftraten.
Warum hatten sich die Verständnisprobleme der MitschülerInnen ergeben?
Überlegungen dazu können letztlich nur fiktiv sein:
Und überhaupt ist das, was da während des Referat des Schülers passiert ist, für mich wiederum nur äußerer Anlass für "grundsätzlichere" Überlegungen: dass während solch eines Referats/Vortrags unbehebbare
(und, da das Publikum meistens nur zuhört [?], also schweigt, oftmals auch unerkannte)
Missverständnisse auftreten, kommt ja allzu häufig vor - auch und gerade im Unterricht durch eineN LehrerIn (mich).
Für solche Missverständnisse scheint es mir aber zwei Erklärungen zu geben:
Dieser Effekt ist ja durchaus oft bei Schülerreferaten zu beobachten, und zwar völlig unabhängig davon, ob diese Referate "lieblos"-desinteressiert (weil vom Lehrer verordnet) oder aber auch mit viel Interesse und Engagement (freiwillig) vorbereitet wurden. Im letzteren Fall meinen SchülerInnen - beispielsweise auch aufgrund der Suggestivität der von ihnen verwendeten Quellen - nur, etwas verstanden zu haben, aber wenn man mal genauer nachfragt bzw. bohrt ...
Der Referent hat sein Thema durchaus verstanden und durchdrungen - und gerade deshalb kann er es nicht mehr erklären. Er versteht gar nicht mehr, wie man das, was er da gerade erklärt, nicht verstehen kann, bzw. er ist den Zuhörern Lichtjahre voraus und deshalb völlig überfordert, wenn er urplötzlich zurückspringen soll.
Auf LehrerInnen übertragen: wer nur fachwissenschaftlich "gut" ist, ist einE schlechteR LehrerIn!
(Ich frage mich allerdings auch, ob einE wirklich guteR FachwissenschaftlerIn sein kann, wer nicht mehr die "Kinderfragen" versteht (sie nicht mehr selbst hat) und nicht hinter jedem scheinbar gelösten Problem eben doch noch tausend interessante Fragen sieht.)
Hier türmen sich wirklich vielfältige Probleme:
- sind eben nicht alle Publikumsreaktionen und -probleme vorher absehbar,
- kann ein Publikum völlig inhomogen sein, beispielsweise auch teilweise interessiert, teilweise desinteressiert,
- kann eine Nachfrage es erfordern, dass man nochmals "bei Adam und Eva" anfangen muss - und völlig aus dem Fluss seines Vortrags herausgerissen wird,
- kann eine Nachfrage interessiert oder destruktiv sein (und man merkt nicht auf Anhieb, was von beidem vorliegt),
- ist manchmal nicht klar, ob eine Nachfrage nur "dumm" oder aber eine gewitzte "Kinderfrage" ist,
- erfordert angemessenes Reagieren also enorme fachliche und rhetorische Sattelfestigkeit
(und wer hat die schon?).
Es gibt aber eben auch hilfreiche Strategien und Einstellungen, wie ich sie etwa in
angedacht habe.
Entscheidende Fragen dabei sind immer:
- Wenn ich wirklich selbst "drauf" gekommen bin: wie?
(... falls ich mich noch erinnern kann und ein Geistesblitz überhaupt aufzuschlüsseln ist; ansonsten s. 3.)
- Falls ich es irgendwo gelesen und "nur" nachvollzogen habe: wäre ich denn auch selbst drauf gekommen?
(Man sei ehrlich sich selbst gegenüber: vieles ist derart genial, dass man niemals selbst drauf gekommen wäre bzw. die geniale Einfachheit nur allzu suggestiv wirkt.)
- Wie hätte denn ich drauf kommen können, wie sind die Genies drauf gekommen bzw.
(weil ja die Entdeckungsgeschichte meist nicht mitüberliefert ist)
wie hätten sie drauf kommen können?
Fast scheint mir (nicht nur im Hinblick auf SchülerInnen):
- es ist schon schwierig genug, gewisse wissenschaftliche Sachverhalte zu verstehen,
- aber noch schwieriger ist es (und zwar gerade, wenn man sie verstanden hat), zu verstehen, dass Laien sie nicht verstehen, und diesen Laien dann Wege zum Verstehen zu zeigen.
Letzteres ist vermutlich für SchülerInnen eine absolute Überforderung
(und auch für jedeN LehrerIn immer wieder eine Herausforderung).
Ein Anfang kann aber sein, dass man in Referaten, Vorträgen und im Unterricht tut, was bislang weitgehend tabu ist
(vermeintlich von Schwäche und völlig zu Unrecht von Unwissenschaftlichkeit zeugt):
- "ich" sagen,
- seinen eigenen Forschungswegs ausdrücklich mitformulieren,
- ebenso mitformulieren, was man auch selbst noch nicht verstanden hat.
Um auf den Anfang mit den Professoren zurück zu kommen: könnte es sein, dass nur ein guter "Erklärer" sein kann, wer noch selbst forscht, für den also noch nicht alles fertig ist?
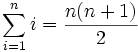
Ein anderes, ebenfalls interessantes Unterrichtsthema wären Herleitung und Beweis der allgemeinen (gaußschen!) Summenformel:
1 + 2 + ... + 100 + ... + n =
Interessant daran ist u.a., dass da eine andere "Schlangen"-Notation naheliegt (?), nämlich (am Beispiel n = 10)
also zwei Schlangen, die sich gegenseitig in die Schwänze beißen:
1 2 3 4 5 6 7 8 9 10
10 9 8 7 6 5 4 3 2 1
,

Ich kann mir tatsächlich vorstellen, dass dieses Bild als Anregung für Schülerinnen ausreicht.
Und der anstehende "induktive" Beweis wäre auch wieder eine spannende pädagogische Herausforderung!
Ich kann´s mir nicht verkneifen, auch dafür habe ich "natürlich" ein "Ordnungsmodell" parat, nämlich die

"Grüne Welle"
(auch ein interessantes Unterrichtsthema!;
und die "Grüne Welle" heißt eben "Welle", weil nicht alle Ampeln gleichzeitig grün sind, sondern

wellenartig nacheinander grün geschaltet werden):
Nebenbei: das schreit nach der Einführung der "Schleife" in Computerprogrammen.